
1、传感器最流行的分类方法有哪些?在物理型传感器中,按构成原理,能量关系及作用分类有哪些传感器?按基本效应分类有哪些?
(1)传感器最流行的分类方法有两种:一种是按传感器的工作原理分类,一种是按被测非电量分类。
(2)物理型传感器可分为电学式传感器、磁学式传感器、光电式传感器、电扮式传感器、电荷式传感器、半导体传感器、谐原式传感器等在物理型传感器中又可分为物性型传感器和结构型传感器
(3)传感器按工作原理不同可分为物理型、化学型及生物型三大类。传感器按能量关系可分为能量转换型传感器和能量控制型传感器。传感器按对信号的检测转换过程,课分为直接转换型传感器和间接转换型传感器。
2、金属应变片与半导体应变片有何不同?
(1)静态特征不同:金属应变片的灵敏系数K与外力F的方向无关,只与绝力F的大小有关并小于制成该应变片敏感栅同等长度值电阻丝的灵敏系数Ks且同批量应变片的K不完全相等。同时金属应变片具有横向效应及横向效应系数(H)、机械滞后、零源和蠕变现象而半导体应变片具有应变——电阻特征、电阻——温度特征、灵敏系数——温度特征。
(2)结构的不同:金属应变片由敏感栅、基底、覆盖层、引线、粘结剂组成半导体应变片最多的是由单晶硅组成,即单晶硅半导体。
(3)温度误差及其补偿方法不同:金属应变片产生主要用自补偿法(单丝自补偿法和双丝自补偿法),桥路补偿法(补偿片法和差动补偿法)、热能电阻补偿法;而半导体应变片则用电阻温度系数补偿法和灵敏系数温度补偿法。
(4)工作原理的不同:金属应变片是通过外力的作用使其阻值发生变化,从而进行工作,半导体应变片是对不同类型的半导体绝加不同方向的外力,产生压阻效应,使其电阻率变化。
3、传感器的动态特征是什么?其分析方法有哪几种?
传感器对时间变化的输入激励的响应特征即为动态特征,研究动态特征的方法有两种:时域法和频域法。在时域内研究动态特征采用瞬态响应法,在频域内研究动态特征采用频率响应法。
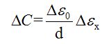
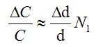
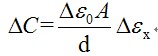
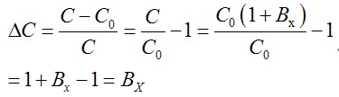
4、电容式传感器有哪三大类?推导电容变化后的输出公式?
电容传感器可分为变极距型、变面积型、变介质型三种电容式传感器。
差动变极距: 
固定介质的变极距: 
线位移式平板: 
圆柱形线位移:
含有被测介质和空气两种介质时介质本身介电常数变化的: 
只有一种介质本身介电常数: 
角位移式: 
改变工作介质的: 
5、光电倍增管产生暗电流的原因是什么?如何减小或消除?
(1)倍增管产生暗电流的原因有:光电阴极和倍增电极的热电子发射;阴极与其他电极之间的漏电流;产生漏电流的原因有二:一是多余的铯原子沉积于各电极之间,导致绝缘电阻下降;二是管基受潮,使玻璃内硅酸盐水解形成电解液,导致绝缘电阻下降,离子反馈和光反馈,场致发射。
(2)减小方法:尽量减小光电阴极与倍增电极的热电子发射;消除管内多余的铯原子和保持管壳干燥;将管内抽成真空,消除离子反馈和光反馈;将管内电极边缘转弯,尖角修圆,减小场致发射。
